Etape 2 : Passage en milieux organique :
On constate que la magnétite n’est pas soluble dans l’eau et qu’elle sédimente au fond du bêcher. En solution dans un liquide les corps sont soumis à plusieurs forces, tout d’abord des forces entropiques, qui tendent à la dispersion de ces molécules dans le liquide :
- le mouvement brownien, lié à l’agitation thermique. Les chocs incessants avec les molécules d’eau tendent à la dispersion dans le liquide des grains de magnétite, qui sont constamment en mouvement de manière plus ou moins aléatoire.
Il y a ensuite des forces attractives qui tendent au regroupement des particules entre elle :
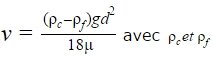
- la force de sédimentation, dûe elle a la gravité. Ainsi la vitesse de sédimentation d’un corps dans un fluide est de :
la masse volumique du corps et du fluide, g la force de gravitation, d le diamètre du corps, la viscosité dynamique du fluide et v la vitesse en m/s. Ici, avec les particules de magnétite dans l’eau cela donne :
(à 20° sous 1 à 100bars) et les particules de magnétite étant de taille nanométrique, nous prendront pour exemple d=20nm afin d’avoir une vitesse relativement élevée et que nous considérerons donc comme maximale. Cela donne :
soit plusieurs mois pour que la particule chute seulement d’un mètre. Cette seule force ne suffit donc pas à faire décanter la solution.
- La force qui va vraiment contribuer à l’attraction des particules de magnétite vers le bas est la force de Van der Waals entre les particules de magnétite. Cette force est en
c’est à dire qu’elle décroit rapidement et devient vite négligeable pour r important car elle se heurte alors à une force entropique trop importante, c’est une force a courte portée.
La résultante de cette force peut se représenter ainsi :
Schéma de la résultante des forces de Van der Waals :

(source de l’imag : http://patrick.kohl.pagesperso-orange.fr/ )
On constate donc qu’en milieux aqueux, les forces de Van der Waals entre les grains de magnétite prédominent sur les forces entropiques, du fait d’une trop grande proximité entre ces grains, aussi plus les particules sont proches plus elles ont tendance à se rapprocher.
Dans le liquide seule la magnétite est aimantée et donc attirée par un champ magnétique extérieur, celui-ci ne fait donc qu’accélérer la décantation, alors que le but est au contraire d’obtenir un ferrofluide homogène et qui le reste en présence d’un champ magnétique. Il faut donc pour cela ajouter un surfactant, dont l’action tiendra les particules de magnétites écartées.
Ici notre surfactant sera de l’acide oléique : ![]()
L’anion, tête hydrophile de la molécule se fixe sur les cations fer à l’extérieur des particules, complexant ainsi la magnétite. Un solvant organique, ici de l’octane (C8H18), est ensuite ajouté. Les corps organiques étant solubles dans les solvants organique, la queue organique hydrophobe de l’acide oléique viens alors se fixer dans l’octane, “portant” ainsi la magnétite dans le solvant.
Schéma d’un grain de magnétite surfacté :

(schéma réalisé à l’aide de l’application dessin de Google docs)
L’octane étant un gaz qui s’évapore facilement nous avons dû veiller à bien refermer hermétiquement les récipients contenant du ferrofluide et à rajouter régulièrement de l’octane afin de garder le ferrofluide stable.
Ici les molécules d’acide oléique empêchent mécaniquement les grains de magnétite de trop se rapprocher, s’opposant ainsi aux forces de Van der Waals qui restent négligeables.
Mais cette complexation peut aussi se faire à l’aide d’une solution ionique tel que l’hydroxyde de tétraméthylammonium, c’est même la solution généralement la plus adoptée car il suffit simplement de mélanger le ferrofluide à la magnétite sans avoir a ajouter de solvant. Le principe de base reste le même, à part le fait que les particules de magnétite sont écartées à l’aide de la répulsion magnétique entre cations. On parle alors de ferrofluide ionique.

